CONCEPTUAL ZERO DRAFT
Here is the World Health Organization's advance copy of the "Conceptual Zero Draft" of their proposed "Pandemic Treaty." Your comments and opinions are requested. PLEASE SHARE FAR AND WIDE.
Please watch the video below…
A NOTE TO READERS:
CROWDSOURCING THE ANALYSIS OF THIS DOCUMENT:
This article is a little different than many of my previous articles. I have chosen to publish this document A.S.A.P. without any prior analysis. In truth, I have not even had time to read it at all. The point is to make this information available to the general public as soon as possible in order to enable YOU to give your opinions.
Please share this article far and wide and invite everyone you know to express their opinions in the comment section below the article.
ALSO - Please feel free to record an audio or video expressing your opinion regarding the “conceptual zero draft” of the WHO’s proposed “Pandemic Treaty” and post the link to your audio or video in the comments below.
ALSO - If you find pertinent comments on Twitter or other social media, or other articles about this document, please share them in the comment section below.
If you are serious about this, I strongly suggest downloading the PDF, printing it out and getting out your highlighter or red pen to highlight/annotate the document. I believe that editing a physically printed copy is a lot easier than reading the document online.
As comments, audios and videos are submitted, I will edit this article and insert your input under the appropriate pages in the document, so it would be really great if you could reference which page your comment is about. Thanks !
Please feel free to contact me directly at +1 310-619-3055 if you would like to discuss this. (Text, phone, Signal, Telegram, WhatsApp).
DOWNLOAD THE ADVANCE COPY OF THE “CONCEPTUAL ZERO DRAFT” OF THE PROPOSED “PANDEMIC TREATY” BELOW…
https://www.keionline.org/wp-content/uploads/ADVANCE_for_16_November_A_INB3_3_E.pdf
From the document…
Please watch the video below…
https://www.bitchute.com/video/btgEvjCGoG2B/
PLEASE REVIEW THE DOCUMENT AND SHARE YOUR OPINIONS, COMMENTS, SUGGESTIONS, COMPLAINTS AND IDEAS IN THE COMMENT SECTION BELOW THIS ARTICLE.
SEE THIS ARTICLE:
https://reclaimthenet.org/world-health-organization-censorship-misinformation-pandemic-treaty/
Thanks for the LOVE!
I just wanted to publicly thank James Love for sharing this information with me, and thus all of my readers. Thanks James!
ARTICLES:
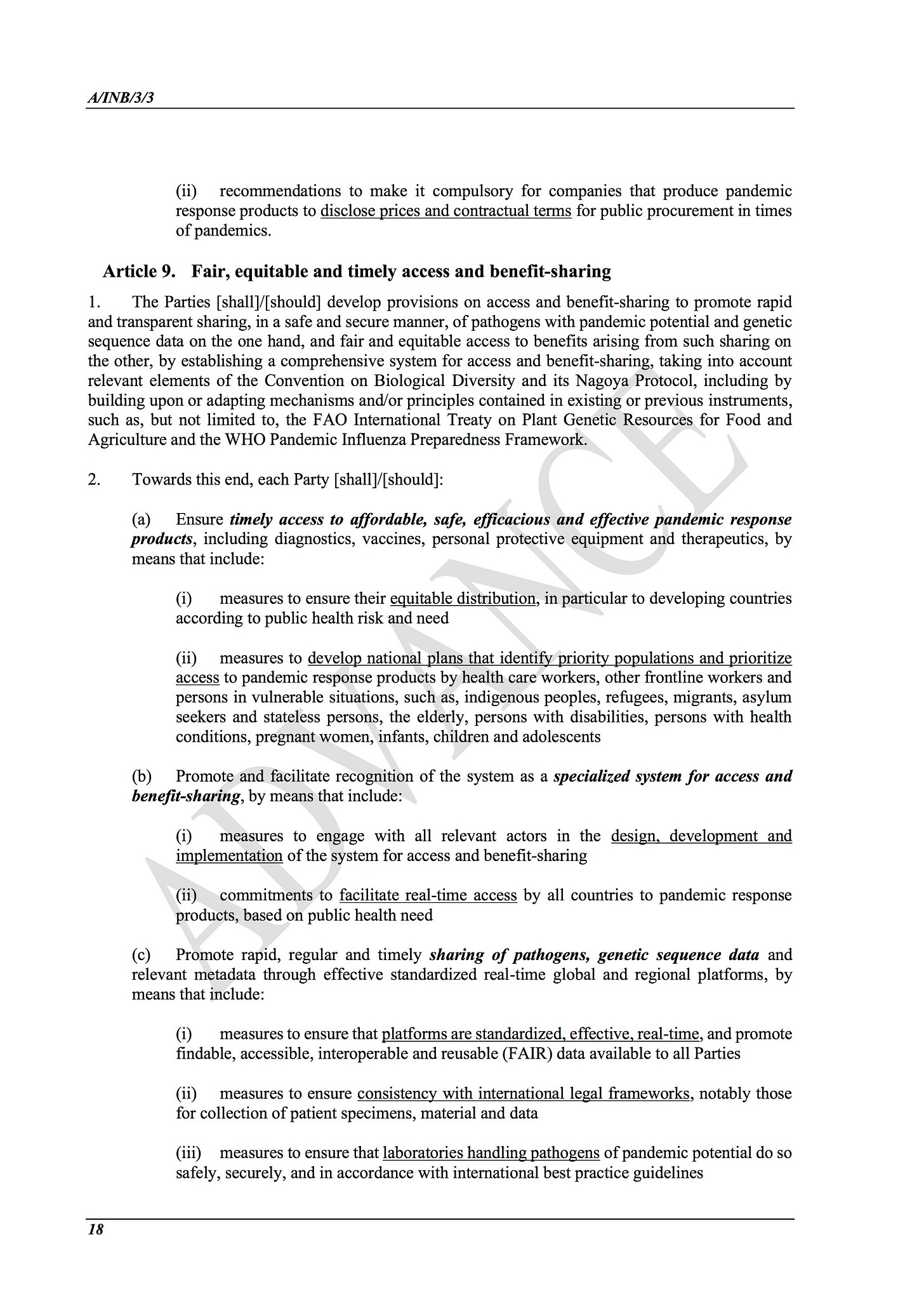
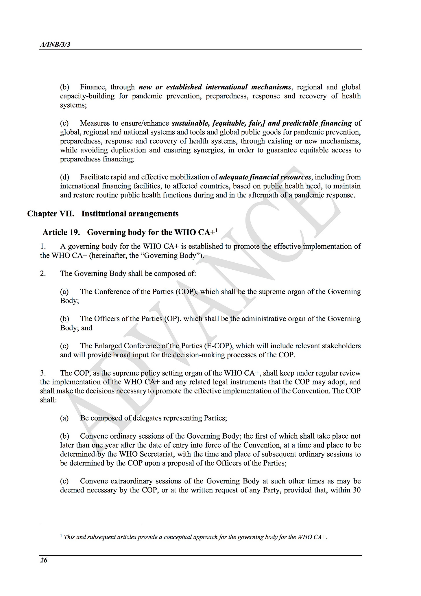
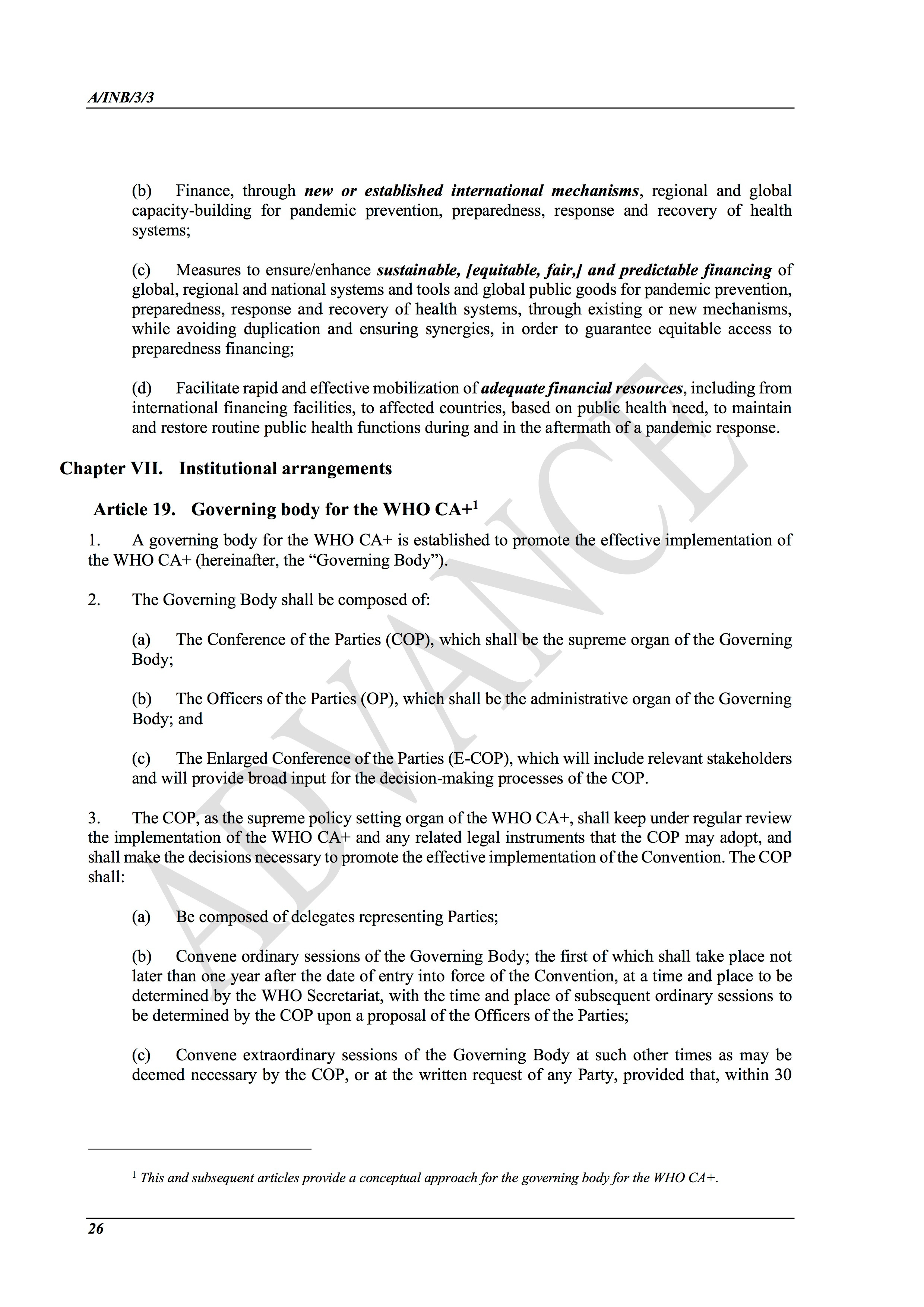
Pandemic Treaty negotiations: The Conceptual zero draft for the consideration of the Intergovernmental Negotiating Body at its third meeting
https://www.keionline.org/38136 (Many thanks for posting this !!! - Thanks Mrs. H.!!!!!!)
https://www.keionline.org/wp-content/uploads/ADVANCE_for_16_November_A_INB3_3_E.pdf
Pandemic Treaty ‘Zero-Draft’ Makes a Strong Case for Regional Production
A new pandemic playbook: Draft treaty sets out far-reaching new rules for countries
https://www.politico.eu/article/new-pandemic-playbook-draft-treaty-far-reaching-rules-countries/
This is the 45th article in this series.
Multilingual information regarding the proposed amendments to the International Health Regulations.
TEN THINGS EVERYONE NEEDS TO KNOW ABOUT THE WHO'S PROPOSED "PANDEMIC TREATY"
Get the United States OUT of the United Nations and The World Health Organization A.S.A.P.
World Health Organization Virtual Press Conference on Global Health Issues
The People's Amendments to the International Health Regulations
CONCEPTUAL ZERO DRAFT
by James Roguski
The old system is crumbling, and we must build its replacement quickly.
If you are fed up with the government, hospital, medical, pharmaceutical, media, industrial complex and would like to help build a holistic alternative to the WHO, then feel free to contact me directly anytime.
JamesRoguski.substack.com/about
JamesRoguski.substack.com/archive
310-619-3055
All content is free to all readers.
All support is deeply appreciated.



















































































I am outrageously serious about this. Contact me directly +1 310-619-3055
I just added an "infographic" to the top of the article.
https://substackcdn.com/image/fetch/f_auto,q_auto:good,fl_progressive:steep/https%3A%2F%2Fbucketeer-e05bbc84-baa3-437e-9518-adb32be77984.s3.amazonaws.com%2Fpublic%2Fimages%2Ffe7f602a-637c-44d6-8846-71aa0d54c46f_798x1596.jpeg