Secret Negotiations
The Intergovernmental Negotiating Body will be meeting from February 19 to March 1, 2024. Most of the meetings will be held in secret, away from the prying eyes of "We the People."
“We the People” are not allowed to see what the WHO is negotiating.
What’s the Big Secret?
Perhaps the Intergovernmental Negotiating Body has forgotten about Chapter 1, Article 3, Sections 7, 8, 9 and 10 of the document that they are negotiating…
The Intergovernmental Negotiating Body (INB) will be meeting from February 19 to March 1, 2024. The INB is overseeing the negotiations of the Framework Convention for Pandemic Prevention, Preparedness and Response, which many people call the “Pandemic Treaty,” the “Pandemic Accord,” or the “Pandemic Agreement.”
It appears that only the opening and closing sessions will be made available to the general public (live stream and recording).
Not only are “We the People” not allowed to participate, we are not even allowed to observe the discussions.
https://apps.who.int/gb/inb/e/e_inb-8.html
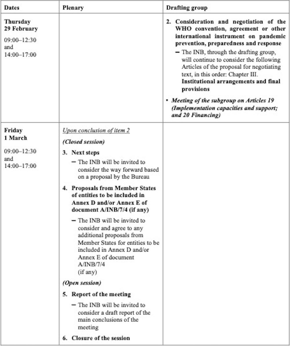
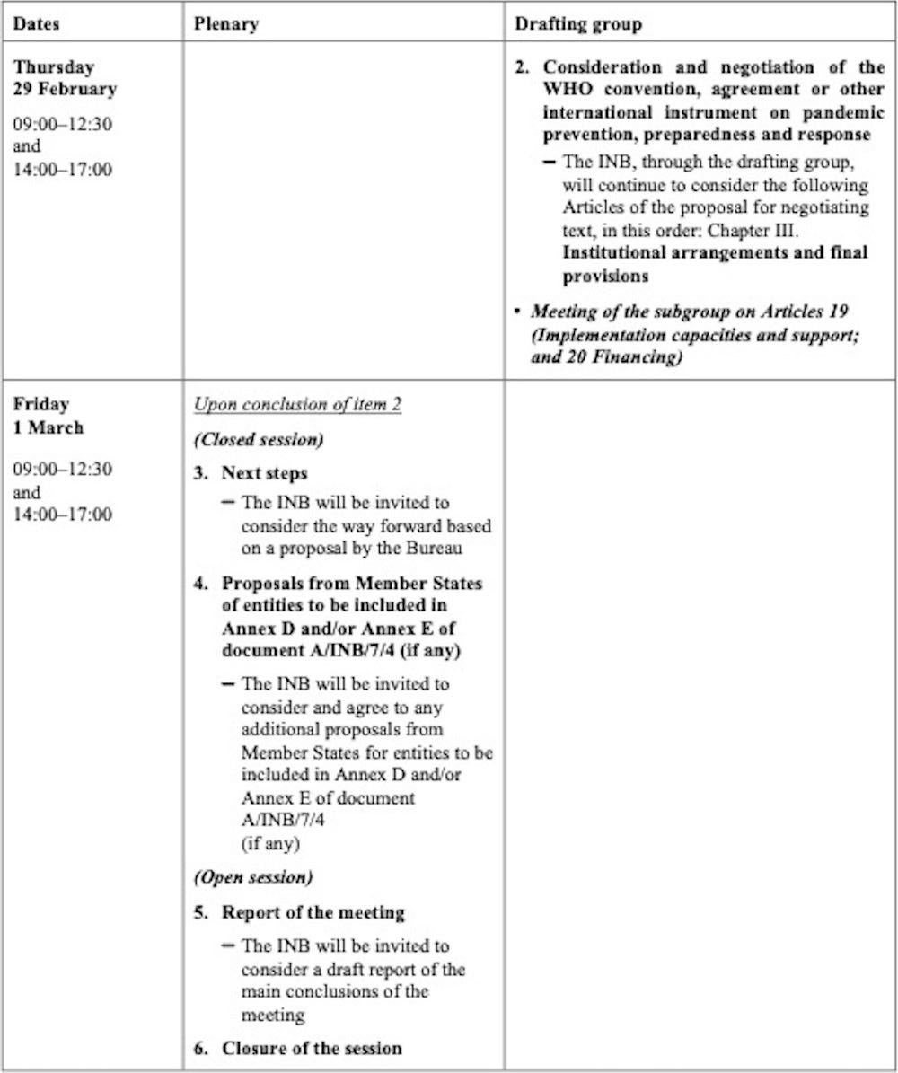
The INB will be discussing Chapter 2 of the document (Articles 4-20).
The INB will NOT be discussing Chapter 1 (Articles 1-3) and Chapter 3 (Articles 21-32) of the agreement.
Here is the most recent version of the document (October 30, 2023):
https://apps.who.int/gb/inb/pdf_files/inb7/A_INB7_3-en.pdf
I wonder when (or if) the INB will make the new version available???
Below is the INB Proposed Agenda for their meetings…
https://apps.who.int/gb/inb/pdf_files/inb8/A_INB8_2-en.pdf
LEARN MORE…
Informed-Dissent.com
StopTheGlobalAgenda.com
ThePeoplesDeclaration.com
ExitTheWHO.org
ExitTheWHO.com
RejectTheAmendments.com
StopTheAmendments.com
StopTheWHO.com
ScrewTheWHO.com
MaskCharade.com
PreventGenocide2030.org
Under Development…
DemandHealthFreedom.com
DemandHealthFreedom.org
HealthFreedomBillOfRights.com
James Roguski
The old system is crumbling, and we must build its replacement quickly.
If you are fed up with the government, hospital, medical, pharmaceutical, media, industrial complex and would like to help build a holistic alternative to the WHO, then feel free to contact me directly anytime.
JamesRoguski.substack.com/about
JamesRoguski.substack.com/archive
310-619-3055
All content is free to all readers.
All support is deeply appreciated.

















Can’t recall a time when sharing was more important!
Thank you James.
Sunlight and truth are the ultimate vaccine for tyranny.