A Timeline of Deception, Fraud and Coverup
They knew. They lied. People died. They still know. They are still lying. People are still dying.
FOR COMPLETE DETAILS: NotSafeAndNotEffective.com
August 2020
FOIA’d Contracts Show CDC Expected up to 1,000 VAERS Reports per Day for COVID Vaccines
In late August 2020, the CDC contracted with General Dynamics to handle VAERS reports for COVID-19 vaccines. The contract anticipated up to 1,000 reports per day, with up to 40% of them serious in nature. The value of the year-long contract was $9.45 million. This means that months before the EUA of any COVID vaccines, the CDC anticipated up to a 600% increase over the average annual number of VAERS reports in recent years with 8 times the rate of serious reports.
https://researchrebel.substack.com/p/foiad-contracts-show-cdc-expected
October 22, 2020
The FDA was aware of quite a number of potential serious adverse events that could be caused by the COVID-19 “vaccines.”
The slide below was presented at the Vaccines and Related Biological Products Advisory Committee (VRBPAC) meeting on October 22, 2020.
https://www.fda.gov/media/143557/download (page 17)
December 8, 2020
The FDA was warned about the risk of adverse events BEFORE the Emergency Use Authorization was approved, and they simply ignored the warning.
On Dec. 8, 2020, the U.S. Food and Drug Administration (FDA) Vaccines and Related Biological Products Advisory Committee (VRBPAC) received a public submission from J. Patrick Whelan, M.D., Ph.D.
In his public submission, Whelan sought to alert the FDA about the potential for vaccines designed to create immunity to the SARS-CoV-2 spike protein to instead cause injuries.
Specifically, Whelan was concerned that the new mRNA vaccine technology utilized by Pfizer and Moderna has “the potential to cause microvascular injury (inflammation and small blood clots called microthrombi) to the brain, heart, liver and kidneys in ways that were not assessed in the safety trials.”
While Whelan did not dispute the vaccines’ potential to quickly arrest the spread of the virus (assuming that the vaccines prove to actually prevent transmission — also not assessed in the clinical trials), he cautioned that “it would be vastly worse if hundreds of millions of people were to suffer long-lasting or even permanent damage to their brain or heart micro-vasculature as a result of failing to appreciate in the short-term an unintended effect of full-length spike protein-based vaccines on other organs.”
Unfortunately, Whelan’s concerns were not acknowledged, and the agency instead relied on the limited clinical trial data. The VRBPAC endorsed the use of the Pfizer vaccine on Dec. 10.
The following day, the FDA issued the first COVID-19 vaccine emergency use authorization allowing the Pfizer-BioNTech COVID-19 vaccine to be widely distributed in individuals 16 and older without calling for the additional studies that Whelan felt were critical to assure safety of the vaccine, especially in children.
https://childrenshealthdefense.org/wp-content/uploads/Whelan-FDA-letter-re-EAU-Pfizer-.pdf
December 11, 2020
FDA Emergency Use Authorization
The oft-repeated claim that the “vaccines” were 95% efficacious was based on the relative risk ratio. However, for the participants in the placebo group, the risk of being diagnosed with COVID-19 was only 162/18325= 0.9%.
https://www.fda.gov/media/144416/download (page 23)
January 20, 2021
February 13, 2021
https://howbad.info/lethalinjection.pdf
April 30, 2021
Pfizer and the FDA knew 1,223 deaths were associated with the Pfizer “vaccine” as were hundreds of different diseases (“adverse events”).
They attempted to keep these facts hidden for 75 years.
Pfizer’s “Cumulative Analysis of Post-authorization Adverse Event Reports.”
SUMMARY AND CONCLUSION
Review of the available data for this cumulative PM experience, confirms a favorable benefit: risk balance for BNT162b2.
Pfizer will continue routine pharmacovigilance activities on behalf of BioNTech according to the Pharmacovigilance Agreement in place, in order to assure patient safety and will inform the Agency if an evaluation of the safety data yields significant new information for BNT162b2.
https://phmpt.org/wp-content/uploads/2022/04/reissue_5.3.6-postmarketing-experience.pdf (page 29)
The graphs below were extracted from the Daily Clout report.
Report 38: Women Have Two and a Half Times Higher Risk of Adverse Events Than Men. Risk to Female Reproductive Functions Is Higher Still [August 20, 2022]
APPENDIX 1. LIST OF ADVERSE EVENTS OF SPECIAL INTEREST
The 9 pages below merely list the names of diseases or “adverse events” that were KNOWN to Pfizer by April 30, 2021. The 393-page document below provides the data associated with each of the many “adverse events.”
The 393-page document below details the extent of the suffering that Pfizer knew was caused by their “vaccine.”
The extent of the harm that Pfizer’s product has caused is astonishing.
https://www.globalresearch.ca/wp-content/uploads/2023/05/pfizer-report.pdf
May 8, 2021
57 Top Scientists and Doctors Release Shocking Study on COVID Vaccines and Demand Immediate Stop to All Vaccinations
SARS-CoV-2 mass vaccination: Urgent questions on vaccine safety that demand answers from international health agencies, regulatory authorities, governments and vaccine developers.
Despite calls for caution, the risks of SARS-CoV-2 vaccination have been minimized or ignored by health organizations and government authorities.
We propose halting mass-vaccination and opening an urgent pluralistic, critical, and scientifically-based dialogue on SARS-CoV-2 vaccination among scientists, medical doctors, international health agencies, regulatory authorities, governments, and vaccine developers. This is the only way to bridge the current gap between scientific evidence and public health policy regarding the SARS-CoV-2 vaccines. We are convinced that humanity deserves a deeper understanding of the risks than what is currently touted as the official position.
May 24, 2021
300 Pages of Emails Leave No Doubt: Fauci, NIH Knew Early On of Injuries, Deaths After COVID Shots
Reports of injuries and deaths following COVID-19 vaccines — including a child injured by the Pfizer vaccine during a clinical trial and a fatal vaccine-induced case of myocarditis — reached NIH researchers, Dr. Anthony Fauci and others in 2021 and 2022.
https://childrenshealthdefense.org/defender/fauci-nih-knew-covid-vaccine-injuries-deaths-emails/
https://childrenshealthdefense.org/wp-content/uploads/NIH-FOIA-59265-04.21.2024-Production.pdf
May 27, 2021
You may need to copy the link above and paste it into your browser in order to get it to work.
May 31, 2021
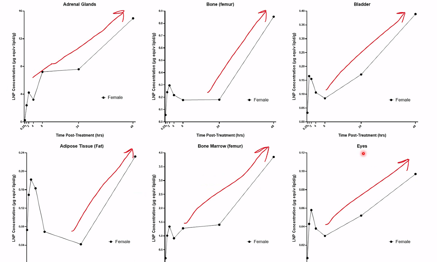
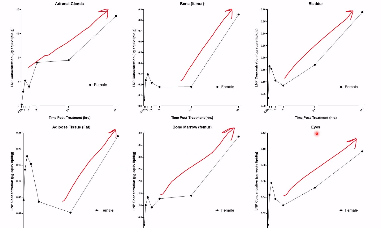
New research shows that the coronavirus spike protein from COVID-19 vaccination unexpectedly enters the bloodstream, which is a plausible explanation for thousands of reported side-effects from blood clots and heart disease to brain damage and reproductive issues, a Canadian cancer vaccine researcher said last week.
“We made a big mistake. We didn’t realize it until now,” said Byram Bridle, a viral immunologist and associate professor at University of Guelph, Ontario, in an interview with Alex Pierson last Thursday, in which he warned listeners that his message was “scary.”
“We thought the spike protein was a great target antigen, we never knew the spike protein itself was a toxin and was a pathogenic protein. So, by vaccinating people we are inadvertently inoculating them with a toxin,” Bridle said on the show, which is not easily found in a Google search but went viral on the internet this weekend.
Bridle, a vaccine researcher who was awarded a $230,000 government grant last year for research on COVID vaccine development, said that he and a group of international scientists filed a request for information from the Japanese regulatory agency to get access to what’s called the “biodistribution study.”
“It’s the first time ever scientists have been privy to seeing where these messenger RNA [mRNA] vaccines go after vaccination,” said Bridle. “Is it a safe assumption that it stays in the shoulder muscle? The short answer is: absolutely not. It’s very disconcerting.”
Biodistribution study:
The lipid nanoparticles do NOT remain in the arm. They go throughout the body and concentrate in the Liver, Spleen, Adrenal Glands, Ovaries and Bone Marrow.
https://www.tga.gov.au/sites/default/files/foi-2389-06.pdf
https://www.docdroid.net/xq0Z8B0/pfizer-report-japanese-government-pdf#page=17
Early Summer 2021
In early Summer 2021, four facts became more widely understood among the community of people trying to understand the biotechnology, risks and benefits of the products marketed as ‘Covid-19 vaccines.’
The inflammatory lipid nanoparticles and their payloads collect in the ovaries and other key organs, are not rapidly cleared from the human body and are toxic.
Pfizer scientists knew this before seeking EUA approval from the FDA through the 11/20/2020 EUA application.
FDA scientists led by Marion Gruber knew this when authorizing the product for emergency use on 12/11/2020.
Pfizer, FDA and Gruber withheld this information from the public and knowingly lied each time they described the products as “safe and effective…”
https://bailiwicknews.substack.com/p/on-the-significance-of-21-usc-360bbb
July 10, 2021
Karen Kingston
Very early on, Karen Kingston reported clearly and eloquently on the blatant fraud that was being perpetrated.
https://rumble.com/v1pw1l5-cv19-ai-bioweapon-from-infection-to-injection-karen-kingston.html
Clinical Protocols:
33301246 Safety and Efficacy of the BNT162b2 mRNA Covid-19 Vaccine
Articles by Children’s Health Defense:
https://childrenshealthdefense.org/defender/fauci-nih-knew-covid-vaccine-injuries-deaths-emails/
https://childrenshealthdefense.org/defender/new-zealand-royal-commission-covid-vaccine-injuries/
https://childrenshealthdefense.org/defender/fda-covid-vaccine-injury-emails-chd-foia/
https://childrenshealthdefense.org/defender/astrazeneca-dismiss-covid-vaccine-trial-injury-lawsuit/
https://childrenshealthdefense.org/defender/nih-covid-vaccine-injury-chd-foia-pharma-liability/
https://childrenshealthdefense.org/defender/vaers-undercounting-deaths-after-covid-shots/
https://childrenshealthdefense.org/defender/fauci-nih-knew-covid-vaccine-injuries-deaths-emails/
https://childrenshealthdefense.org/defender/fauci-ignored-covid-vaccine-injuries-emails-chd/
https://childrenshealthdefense.org/defender/cdc-redact-myocarditis-information-foia-covid-shots/
https://childrenshealthdefense.org/defender/nih-communication-covid-vaccine-injured-people/
https://childrenshealthdefense.org/defender/hhs-compliance-house-coronavirus-pandemic-investigation/
https://childrenshealthdefense.org/defender/sars-cov-2-never-existed-natural-world-fbi-lab-leak/
https://childrenshealthdefense.org/defender/fda-off-label-covid-shots-long-covid/
https://childrenshealthdefense.org/defender/anthony-fauci-pandemic-house-interview/
https://childrenshealthdefense.org/defender/defender-in-depth-podcast-albert-benavides/
https://childrenshealthdefense.org/defender/mathew-crawford-excess-deaths-defender-in-depth/
https://childrenshealthdefense.org/defender/paul-thacker-covid-lab-leak-defender-in-depth/
https://childrenshealthdefense.org/defender/wuhan-conspiring-discredit-covid-leak-lab/
https://childrenshealthdefense.org/defender/the-defender-in-depth-podcast-kim-witczak-fda/
https://childrenshealthdefense.org/defender/lawsuit-covid-vaccine-injury-liability-manufacturers/
https://childrenshealthdefense.org/defender/gilead-falsely-advertised-remdesivir-lawsuit/
https://childrenshealthdefense.org/defender/appeals-court-fda-ivermectin-covid/
https://childrenshealthdefense.org/defender/royal-society-report-pandemic-mandates-lockdown/
https://childrenshealthdefense.org/defender/politics-mask-mandates-return/
https://childrenshealthdefense.org/defender/moderna-clinical-trial-documents-injuries/
https://childrenshealthdefense.org/defender/fauci-nih-covid-origins-leaked-messages/
https://childrenshealthdefense.org/defender/david-morens-niaid-emails-foia-covid-origins/
https://childrenshealthdefense.org/defender/white-house-social-media-censorship-appeal/
https://childrenshealthdefense.org/defender/orwellian-tactics-social-media-censorship-white-house/
https://childrenshealthdefense.org/defender/pfizer-biontech-covid-vaccine-placebo/
https://childrenshealthdefense.org/defender/randi-weingarten-rochelle-walensky-school-covid/
https://childrenshealthdefense.org/defender/confidential-eu-documents-deaths-pfizer-biontech-shots/
https://childrenshealthdefense.org/defender/mandy-cohen-new-cdc-director-covid-restrictions/
https://childrenshealthdefense.org/defender/cdc-rochelle-walensky-censorship-covid-pandemic-hearing/
https://childrenshealthdefense.org/defender/fda-covid-vaccine-labels-health-risks/
https://childrenshealthdefense.org/defender/fda-cdc-covid-vaccine-myocarditis-safety-signal/
https://childrenshealthdefense.org/defender/monica-bertagnolli-director-nih-pharma/
https://childrenshealthdefense.org/defender/united-kingdom-data-sharp-increase-excess-deaths/
https://childrenshealthdefense.org/defender/united-states-covid-eua/
https://childrenshealthdefense.org/defender/anthony-fauci-twitter-files-pharma-covid/
https://childrenshealthdefense.org/defender/chd-nih-lawsuit-foia-covid-vaccine-injury/
https://childrenshealthdefense.org/defender/faa-guideline-updates-pilots-guillain-barre-syndrome/
https://childrenshealthdefense.org/defender/faa-pilot-medical-clearance-myocarditis/
https://childrenshealthdefense.org/defender/myocarditis-pfizer-covid-vaccine/
https://childrenshealthdefense.org/defender/karl-lauterbach-germany-covid-vaccine-injuries/
https://childrenshealthdefense.org/defender/uk-lockdown-files-covid-vaccine/
https://childrenshealthdefense.org/defender/cdc-robert-redfield-covid-origins/
https://childrenshealthdefense.org/defender/moderna-covid-vaccine-patent-infringement/
https://childrenshealthdefense.org/defender/new-york-city-unvaccinated-teachers-lawsuit/
https://childrenshealthdefense.org/defender/fingerprints-unvaccinated-nyc-teachers-fbi/
https://childrenshealthdefense.org/defender/faa-pilots-ekg-test-limit-covid-vaccine-injuries/
https://childrenshealthdefense.org/defender/kathryn-edwards-pfizer-covid-vaccine-conflict/
https://childrenshealthdefense.org/defender/pfizer-bivalent-covid-vaccine-booster-babies-kids/
https://childrenshealthdefense.org/defender/anthony-fauci-under-oath-social-media-censorship/
https://childrenshealthdefense.org/defender/cdc-data-covid-vaccine-injuries-vsafe-app/
https://childrenshealthdefense.org/defender/lawsuit-documents-anthony-fauci-wife-nih/
https://childrenshealthdefense.org/defender/deaths-injuries-pfizer-vaccine-trial-document-dump/
https://childrenshealthdefense.org/defender/european-medicines-agency-eu-pfizer-vaccine/
https://childrenshealthdefense.org/defender/pfizer-whistleblower-lawsuit-fraud/
https://childrenshealthdefense.org/defender/big-pharma-drug-regulators/
https://childrenshealthdefense.org/defender/fda-moderna-spikevax-covid-vaccine-lawsuit/
https://childrenshealthdefense.org/defender/whistleblower-military-covid-19-vaccine-mandate/
https://childrenshealthdefense.org/defender/fda-novavax-covid-vaccine-heart-inflammation/
https://childrenshealthdefense.org/defender/fda-pfizer-documents-vaccine-adverse-events/
https://childrenshealthdefense.org/defender/pfizer-hired-600-people-vaccine-injury-reports/
https://childrenshealthdefense.org/defender/judge-evidence-pfizer-whistleblower-lawsuit/
https://childrenshealthdefense.org/defender/pfizer-fda-delay-release-covid-vaccine-safety-data/
https://childrenshealthdefense.org/defender/dod-evidence-military-vaccine-mandate-trial/
https://childrenshealthdefense.org/defender/fda-eight-months-produce-pfizer-safety-data/
https://childrenshealthdefense.org/defender/fda-eight-months-produce-pfizer-safety-data/
https://childrenshealthdefense.org/defender/greece-covid-vaccine-mandate-senior-citizens/
https://childrenshealthdefense.org/defender/fda-75-years-release-pfizer-vaccine-documents/
https://childrenshealthdefense.org/defender/fda-licensing-pfizer-comirnaty-covid-vaccine/
https://childrenshealthdefense.org/defender/cdc-data-natural-immunity-covid/
James Roguski
310-619-3055
JamesRoguski.substack.com/archive
ControlBloodSugarNaturally.com
I claim no copyright of any kind whatsoever, over any of my work, ever. Everyone is encouraged to copy any and all of it, in part, or in full, and use it for whatever purposes they wish. In fact, I would be delighted if someone were to copy this entire body of work. I encourage everyone to duplicate and mirror it in its entirety. I also encourage everyone to adapt and utilize the information in whatever manner they deem appropriate. No citation or other reference is requested or required. It would actually bring me great joy to see this information multiply exponentially and "go viral".
All content is free to all readers.
All support is deeply appreciated.






















































Thank you for this awesome compilation proving Mistakes Were NOT Made, James.
Thank you again for these valuable statistics. Even with all these statistics we still do not know the extent of death and destruction from this psyop on the world. There are many who are not and will not be accounted for in these statistics because they were not reported by those who could have reported. For example, my half sister died after getting the Pfizer jab but not before spending exactly 2 months on a ventilator. Her husband would not listen to me or look at the information I sent him. My dear neighbor and friend died of Turbo Cancer because he trusted his doctor - you know the person who insisted he get 5 shots. He would not even look at the valuable information I gave him that might have helped him improve. Neighbors and other friends have suffered the ill effects of the jabs but never reported their adverse events. One person walks with walking sticks still years later. She used to walk all over town, then took the first shot.
Like many, for refusing to take the shot or wear a mask I was harassed and ridiculed by "the believers" and lost several doctors because of my position. But that is the least of what these others have experienced.